1、防洪評價依據:
《中華人民共和國防洪法》第二十七條:“建設跨河、穿河、穿堤、臨河的橋梁、碼頭、道路、渡口、管道、纜線、取水、排水等工程設施,應當符合防洪标準、岸線規劃、航運要求和其他技術要求,不得危害堤防安全,影響河勢穩定、妨礙行洪暢通;其可行性研究報告按照國家規定的基本建設程序報請批準前,其中的工程建設方案應當經有關水行政主管部門根據前述防洪要求審查同意。”
根據《河道管理範圍内建設項目管理的有關規定(2017年修訂)》,以下項目需要編制防洪評價報告,在河道(包括河灘地、湖泊、水庫、人工水道、行洪區、蓄洪區、滞洪區)管理範圍内新建、擴建、改建的建設項目,包括開發水利(水電)、防治水害、整治河道的各類工程,跨河、穿河、穿堤、臨河的橋梁、碼頭、道路、渡口、管道、纜線、取水口、排污口等建築物,廠房、倉庫、工業和民用建築以及其它公共設施(以下簡稱建設項目)。
聚酯(PET)瓶項目占地面積30.19畝,建築面積22135.63平米,達到穩定運營後,每年銷售收入穩定在3248.43萬元人民币左右,利潤穩定在391.93萬元人民币左右。聚酯(PET)瓶項目總投資額爲3773.16萬元,20%申請政府資金支持,80%自有資金解決,投資利潤率爲4.54%;項目投資财務内部收益率(稅後)爲0.15%,投資回收期(稅後)爲673.90年,盈虧平衡點 BEP=49.46%。
歡聚四方公司子公司四川鼎立晟攀建築工程有限公司擁有水利設計乙級資格,專業編制聚酯(PET)瓶項目防洪評價(jià)報(bào)告、水資源論證報告,子公司北京華靈四方投資咨詢有限責任公司擁有中國工程咨詢協會甲級資信,爲2021年北京市優秀工程咨詢單位,節能評估榮獲北京市優秀工程咨詢獎一項,節能領域實力雄厚,節能報告、項目資金申請報告、項目申請報告,項目建議書,可行性研究報告,效率高,價格低,歡迎來電咨詢,13911268021沈工

聚酯(PET)瓶項目防洪評價(jià)報(bào)告
編(biān)制防洪評價報(bào)告前建設單位提供材料:
(1)項目基本資料、可行性研究報告及批複、目前工程進展情況;
(2)河道劃界報告;
(3)項目涉河工程建設方案、施工方案及相關圖紙、建設項目防洪影響補救工程專項設計方案、建設項目工程建設期間和運營期間服從水利建設和管理的承諾函、建設項目涉及第三方合法水事權益的,提供與第三人協議(不涉及的,提供承諾函)、項目立項證明等必要資料。
以下根據《河道管理範圍内建設項目防洪評價報告編制導則》(SL/T808-2021)編制
1. 概述
1.1. 建設 聚酯(PET)瓶項目背景
防洪評價報告編制大綱執行《河道管理範圍内建設項目防洪評價報告編制導則》(SL/T 808-2021)附錄B要求,根據防洪綜合評價及分析計算成果,定性或定量歸納建設項目的影響,明確結論,編制單位除按規範要求編寫外,重點做好以下基礎工作:弄清項目涉河工程建設方案、施工方案與河道的相互關系;弄清項目涉河工程建設方案及所處河段的防洪标準;洪評報告針對涉及河道管理範圍内建設項目編制,應弄清項目涉河工程建設方案、施工方案是否存在違背《中華人民共和國防洪法》、《中華人民共和國河道管理條例》以及《涉水建設項目防洪與輸水影響評價技術規範》(DB37T 3704-2019)等要求的限制性因素;確保項目所涉河道資料收集全面,水文、水力、穩定分析等計算方法正確、計算結果可靠;補救措施針對項目實際,確實起到消除和減輕防洪影響的作用。
1.2. 聚酯(PET)瓶項目防洪影響分析範圍
1.3. 技術路線及工作内容
1.4. 聚酯(PET)瓶項目高程系統
2. 聚酯(PET)瓶項目基本情況
2.1. 建設 聚酯(PET)瓶項目基本情況
2011年1-12 月,山東省塑料包裝箱及容器制造業累計實現産品銷售收入1353.68 億元,比上年同期增長28.22% ,山東省塑料包裝箱及容器制造業累計實現利潤總額92.79億元,上年同期爲71.39億元。山東省塑料包裝箱及容器制造業總規模以上企業數量1332家,虧損企業120家,虧損總額爲2.84億元,上年同期爲1.49億元。山東省塑料包裝箱及容器制造業産品銷售稅金及附加爲7.66億元,去年同期爲4.97億元,增長54.09%。 2011年1-12 月,山東省塑料包裝箱及容器制造業資産總計917.55 億元、比去年同期增加13.94% ;負債合計414.29 億元,比去年同期增加78.78% ;塑料包裝箱及容器制造業平均資産負債率爲45.15% 。塑料包裝箱及容器制造業應收帳款額爲149.86億元,比去年同期增長10.00% ,銷售成本爲1147.66億元,比去年同期增長29.17% ,銷售費用爲32.02億元,比去年同期增長20.10% ,塑料包裝箱及容器制造業管理費用爲47.81億元,比去年同期增長20.05% ,塑料包裝箱及容器制造業财務費用爲14.37億元,比去年同期增長28.17%, 塑料包裝箱及容器制造業全部從業人員平均人數爲201302人。
2.2. 河道基本情況
2.3. 現有水利工程及其他設施情況
特别需要調查上遊水庫等水利設施情況
2.4. 水利規劃及實施安排
3. 河道演變
3.1. 河道曆史演變概況
河流側蝕作用強烈,在峽谷峭壁上形成瞭凹穴,經過地殼運動擡升的穩定期和活躍期的交替變化,在不同的高度上形成瞭一些列側蝕凹槽
上圖爲河流側蝕凹槽 ,流動河水侵蝕凹岸,形成 凹槽,這是河流側向側蝕作用,被侵蝕的沉積物會被搬運到凸岸沉積

3.2. 河道近期演變分析
3.3. 河道演變趨勢分析

河流下切作用,與側向侵蝕相比,下蝕作用通常發生在地殼擡升期。在地殼擡升背景下,攜帶沉積物的水流不斷侵蝕河床,使得峽谷越來越深
4. 防洪評價分析與計算
4.1.聚酯(PET)瓶項目 水文分析計算
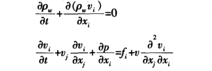
本報告採用HEC-RAS5.0.7版本進行計算,該軟件可對天然或人工河道進行一維恒定流和非恒定流的水力推演:可計算緩流、急流及混合流等各種流态;還可進行如防洪堤、橋梁、涵洞、堰閘、泵站等涉水建築物的水面線分析計算:同時,能夠生成橫斷面形态圖、流量及水位過程曲線、河道三維斷面圖等分析圖表。該軟件操作便捷.适應範圍廣。
對於恒定流計算基於一維能量方程.採用直接步進法推求水面線,基本公式如下:
對於非恒定流計算基於一維連續性方程和動量方程,微分方程如下。

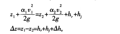
4.2. 聚酯(PET)瓶項目壅水和行洪能力分析計算

橋梁壅水高度採用《鐵路工程水文勘測設計規範》(TB10017-2021)推薦公式分析計算,公式爲:
式中物理量依次爲:
——橋前最大壅水高度(m);
——系數;
——斷面平均流速(m/s),爲設計流量被全河過水斷面(包括邊灘和河灘)除得之商;
——橋下平均流速(m/s);
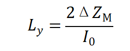
3、壅水長度
新建工程河段壅水曲線全長計算採用公式:

式中:
——壅水曲線全長(m);
——橋址河段天然水面坡度;
4.3. 聚酯(PET)瓶項目沖刷淤積計算與河勢影響分析
橋梁橋墩沖刷包括河床自然演變沖刷、一般沖刷和局部沖刷三部分,最大沖刷深度爲上述三項之和。河床自然演變引起的沖刷和淤積目前尚無可靠的計算方法,其幅度較難量化。因此本次計算隻考慮一般沖刷和局部沖刷兩部分。項目區域地層岩性多樣,區分粘性土和非粘性土計算沖刷深度。計算方法參考《公路工程水文勘測設計規範》(JTGC30-2015)。
4.4. 聚酯(PET)瓶項目堤防及岸坡穩定分析計算
5. 聚酯(PET)瓶項目防洪綜合評價
5.1. 建設 聚酯(PET)瓶項目與有關規劃符合性評價
5.2. 建設 聚酯(PET)瓶項目防洪标準和有關技術要求符合性評價
5.3. 建設 聚酯(PET)瓶項目對河道行洪的影響評價
5.4. 建設 聚酯(PET)瓶項目對河勢穩定的影響評價
5.5. 建設 聚酯(PET)瓶項目對堤防安全及岸坡穩定和其他水利工程影響評價
5.6. 建設 聚酯(PET)瓶項目對水利工程運行管理和防汛搶險的影響評價
5.7. 建設 聚酯(PET)瓶項目施工期影響評價
5.8. 建設 聚酯(PET)瓶項目對第三人合法水事權益的影響評價
6. 消除和減輕影響的措施
6.1. 消除和減輕影響措施
6.2. 建設 聚酯(PET)瓶項目消除和減輕影響的措施效果分析
7. 結論與建議 422
7.1. 防洪綜合評價主要結論
7.2. 消除和減輕影響措施的結論
7.3. 建議
8 附件
8.1. 附件
---------------------------------------------
生産本項目産品的主要企業分析
蘭州中富容器有限公司 太原中富聯體容器有限公司 蘭州中富容器有限公司 太原中富聯體容器有限公司 太原中富聯體容器有限公司 蘭州中富容器有限公司 太原中富聯體容器有限公司
---------------------------------------------
平原縣隸屬德州市,德州市位於北緯36°24'-38°0'、東經115°45'-117°24'之間,黃河下遊北岸,山東省西北部。北依北京、天津,南鄰省會濟南,西接山西煤炭基地,東連勝利油田及膠東半島,處於華北、華東兩大經濟區連結帶和環渤海經濟圈、黃河三角洲以及“大京九”經濟開發帶交彙區内,兼具沿海與内陸雙重優勢。
地處魯西北黃河沖擊平原,總面積1047平方公裏,人口44.7萬,轄内7鎮3鄉2個街道辦事處和龍門經濟技術開發區,共有876個行政村。
地理區位:平原縣南依泰山,北望京津,距天津港220公裏,黃骅港110公裏,濟南遙牆機場80公裏。京滬鐵路貫穿縣境南北,平原火車站每天有17次客貨在這裏停、發,貨運站台一次作業能力達5000噸,年吞吐量達50萬噸。京福高速公路從平原穿境而過,並設有南北兩個進出口,乘車到濟南機場隻需1小時,境内還有北京至珠海的105國道、101、315、318省道和四通八達的縣鄉公路,内聯鄉村、外通全國,客貨運輸十分方便。
平原縣東臨國家第二大油田勝利油田,北靠國家大型電廠華能電廠,並且本縣有裝機3萬千瓦的熱電廠一處,中原油田向縣城的天然氣供氣工程也正在建設之中,可爲企業提供充足的資源保障。 平原縣工業經濟初具規模,已形成瞭造紙、棉紡、化工、機械、建材、食品加工六大産業。平原縣農副産品資源豐富,全縣現有耕地78萬畝,主要農作物有小麥、玉米、棉花、蔬菜等,是全國有名的“糧棉基地縣”、“京津蔬菜園區”和“畜牧業強縣”。
基礎設施完備:平原縣是山東省第一個電話縣,全縣電話裝機總量達7.8萬部,入戶率78%;程控電話、無線尋呼、移動通訊三網齊全,随時可聯通國内外的通訊網絡。城市功能完備,城區實現瞭集中供水、 供熱、供電、供氣。目前,城區規劃建設面積已擴展到32平方公裏,老城區、新城區和開發區“三區一城”的城市框架基本形成,城市品位明顯提升,承載力、吸引力進一步增強。
工業特色明顯:平原縣工業發展構築瞭“總量大、骨幹強、效益好、結構優”的格局,造紙、化工、酒水飲品、糧食深加工等主導産業規模進一步膨脹,化工生産能力達到瞭137萬噸,造紙、酒水飲品、糧食 深加工能力分别達到瞭100萬噸,四大産業集群格局基本形成。規模以上企業已達130家,比年初增加24家;規模以上企業實現銷售收入88億元,利稅超過10億元大關;全縣利稅過2億元的企業達到2家,過億元的3家,過千萬元的17家。德齊龍、照東方、滬平永發、正大紙業等骨幹企業實力進一步壯大,對經濟發展 的支撐作用明顯增強。
人文環境優良:平原縣文化底蘊深厚,平原人民講誠信、重信義,全縣上下重商、親商,政通人和,幹事創業的氛圍濃厚。
---------------------------------------------
社會經濟條件

北京歡聚四方規劃設計有限公司旗下擁有甲級工程咨詢單位:北京華靈四方投資咨詢有限責任公司和乙級設計單位:四川鼎立晟攀建築工程有限公司,公司緻力於項目前期、設計階段,旗下公司業務覆蓋項目前期策劃、測繪、規劃、立項、節能評估、水資源評估、水土保持、防洪評價等,基本可以覆蓋大部分項目的前期服務,公司也擅長管理咨詢和投融資服務,旗下公司在市場調研、商業計劃書、管理咨詢、戰略規劃等領域均具有大量的成功案例。旗下公司承擔瞭近8000多個項目,行業覆蓋鐵路、能源、高新技術等國民經濟各個行業,也承擔政府投資項目第三方評審,爲政府科學決策提供第三方咨詢服務。
更多我公司資深的專家團隊具有專業的理論知識和豐富的實戰功底,控股公司範圍内擁有8000多家客戶,海量的實踐經驗是服務質量的有力保障。公司可提供可行性研究報告、融資計劃書、商業計劃書、市場調研報告、資金申請報告、投資價值分析報告、社會穩定風險評估報告、節能評報告等策撰服務。
詳詢:13911268021沈先生









